|
<< Klik om de inhoudsopgave weer te geven >> Navigatie: Berekeningen > IEC 61363 > Model |
IEC 61363 norm beschrijft modellen van de volgende actieve elementen:
•synchrone machines (zie p.29, sectie 5.1.1 van de norm)
•asynchrone motoren (zie p.37, sectie 5.1.2 van de norm)
•frequentieomvormer-gekoppelde motoren (zie p.45, sectie 5.1.4 van de norm)
Verder worden modellen voor de volgende takken gegeven:
•kabels (zie p.47, sectie 5.2.2 van de norm)
•transformatoren (zie p.47, sectie 5.2.3 van de norm)
•smoorspoelen (zie p.49, sectie 5.2.4 van de norm)
Hierna worden deze modellen in het kort samengevat.
De volgende elementen van Vision worden niet ondersteund door de IEC 61363-berekening:
•netvoeding (netten van schepen/offshore eenheden opereren meestal in eilandbedrijf)
•windturbine
•PV
•accu
•nulpuntstransformator
•condensator (shunt)
•spoel (shunt)
•transformatorbelasting (gebruik losse transformator en belasting)
Synchrone generator en motor
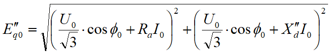
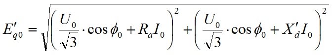
De synchrone machine wordt met interne e.m.k. (electromotorische kracht) achter een weerstand en een reactantie gerepresenteerd. De kortsluitstroom wordt in drie periodes gesplitst: subtransiënte, transiënte en stationaire periode. De parameters van de machine moeten voor de elke periode gegeven worden. IEC 61363 gebruikt de benadering met alleen d-as reactanties (q-as reactanties worden verwaarloosd).
De enveloppe van de totale kortsluitstroom in tijd (momentane waarden) is:
AC-component van de kortsluitstroom (RMS-waarden) is:
waar subtransiënte en transiënte componenten van de kortsluitstroom worden bepaald als volgt:
Interne e.m.k.’s zijn afhankelijk van de spanning, stroom en cosinus phi net voor de kortsluiting:


Stationaire kortsluitstroom wordt op de analogische manier berekend. Indien Ikd parameter (tabblad Dynamische van de synchrone machine) gespecificeerd is, wordt de correctie op de synchrone reactantie Xd toegepast zodat de stationaire kortsluitstroom gelijk is aan de gespecificeerde waarde. Indien de optie ‘Ikd van synchrone machines naar minimaal 3xInom forceren’ aangevinkt is (check Vision Opties, tabblad Berekening en daarna tabblad IEC 61363), wordt de synchrone reactantie ook gecorrigeerd zodat Ikd tenminste 3 keer groter is dan de nominale stroom van de machine.
DC-component van de kortsluitstroom (momentane waarden) is:
![]()
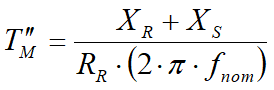
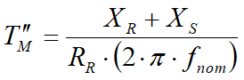
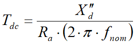
waar DC-tijdconstante Tdc kan expliciet gegeven worden (tabblad Dynamische van de synchrone machine) of impliciet via de volgende formule benaderd (als ‘Tdc onbekend’ op de tabblad Dynamische van de synchrone machine aangevinkt is):
![]()
De piekstroom van de kortsluiting wordt bij de norm als de totale kortsluitstroom ik op tijd t = T/2 (50 Hz: 10 ms, 60 Hz: 16.7 ms) bepaald.
Asynchrone motor
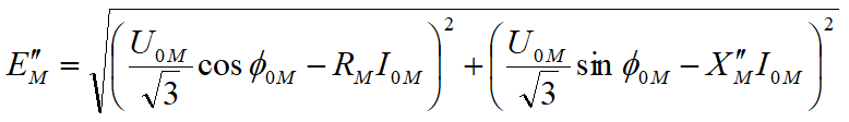
De asynchrone motor wordt met interne e.m.k. achter een weerstand en een reactantie gerepresenteerd. Asynchrone motoren voeden alleen subtransiënte kortsluitstromen aan het net. Er is ook aperiodische (gelijkstroom) component aanwezig in de kortsluitstroom van de machine.
De enveloppe van de totale kortsluitstroom in tijd (momentane waarden) is:
![]()
AC-component van de kortsluitstroom (RMS-waarden) is:
![]()
waar de subtransiënte kortsluitstroom is:
![]()
Interne subtransiënte e.m.k. is afhankelijk van de ‘pre-fault’ situatie (spanning, stroom en cosinus phi van de motor):

Equivalente weerstand en reactantie van de motor zijn:
![]()
![]()
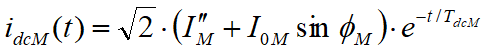
DC-component van de kortsluitstroom (momentane waarden) is:
![]()
Tijdconstanten van de motor zijn van de stator en rotor weerstanden en reactanties bepaald:
![]()
![]()
De piekstroom van de kortsluiting wordt bij de norm als de totale kortsluitstroom iM op tijd t = T/2 (50 Hz: 10 ms, 60 Hz: 16.7 ms) bepaald.
Parameters van de asynchrone motor (RS, RR, XS, XR) kunnen op tabblad Dynamische van de desbetreffende motor ingevuld worden. Voor dit moet er eerst Eigen parameters aangevinkt worden. Indien dit niet geselecteerd is, worden weerstanden en reactanties aan de hand van de aanloopgegevens, kipkoppel en naamplaatgegevens geschat. Indien dubbele kooi-model gekozen is, wordt de equivalente rotorimpedantie berekend met gebruik van parallelle schakeling van de eerste en de tweede rotorkooi.
Frequentieomvormer-gekoppelde motoren
Frequentieomvormer-gekoppelde motoren leveren geen bijdrage aan de kortsluitstromen.
Verbinding en kabel
Alle kabels en verbindingen worden door serieschakeling van weerstand en reactantie gerepresenteerd. Dwarscapaciteiten van de kabels zijn volgens de norm verwaarloosd. De weerstand van kabel (of verbinding) wordt aan de hand van de geleidertemperatuur aangepast. Dit gebeurt indien de optie Geleidertemperatuur toepassen in Opties tabblad Berekening | Algemeen aangevinkt is. De toepassing van de temperatuur vindt op dezelfde manier plaats zoals bij de IEC 60909. Correctiefactor is gelijk aan:
![]()
waar Tref,° is de referentietemperatuur (die bij het kabeltype gespecificeerd wordt) en Tact,° is de actuele temperatuur (die in de Opties gezet wordt).
Transformator
De transformator is middels serie-gekoppelde weerstand en spoel gemodelleerd. Parameters worden uit de kortsluittest gegevens bepaald. Trapstand van de transformator wordt op de nominale waarde ingesteld.
Smoorspoel
De smoorspoel wordt met een serieschakeling van een weerstand en spoel gerepresenteerd.
Link
De impedantie van link wordt in de IEC 61363 berekening verwaarloosd. Knooppunten die met links aan elkaar gekoppeld zijn, worden intern als één knooppunt beschouwd.
Belasting
De belasting voedt geen kortsluitstroom aan het net. Daarom worden belastingen tijdens kortsluiting buiten beschouwing gelaten. Belasting heeft invloed alleen als er de loadflowberekening voor de initialisatie van IEC 61363 berekening gebruikt wordt.