|
<< Klik om de inhoudsopgave weer te geven >> Navigatie: Berekeningen > Vlamboog > Model |
De Vlamboogmodule maakt gebruik van een aantal in Vision geïntegreerde modules. Bij de bepaling van de vlamboogenergie zijn zowel de kortsluitstroom als de tijd die een vlamboog voorstaat essentieel en netwerkspecifieke gegevens. De kortsluitstroom wordt bepaald middels de module Storingsequentieel en de tijd bijhorende de vlamboogstroom word bepaald met behulp van de beveiligingsmodule. Bij een vlamboogstudie zijn naast de standaardgegevens voor de kortsluitstroomberekening en de instellingen van de beveiligingseenheden ook extra gegevens vereist. Deze gegevens hebben betrekking op de installatie en de werkpositie van het personeel, de extra gegevens zijn verbonden aan een knooppunt in de zin dat deze een bepaalde installatie representeert.
Op tabblad Specials | Installatie van het knooppunt worden type en parameters van een installatie gespecificeerd.

Het is mogelijk om te kiezen tussen vier verschillende type installaties: openlucht, schakelinstallatie, kabel en motorveld (de laatste is alleen voor de nominale spanning tot en met 1 kV). Het type installatie heeft invloed op de afstandsfactor van de IEEE 1584 berekening.
Het vinkje Star geaard geeft aan of het net star geaard of zwevend/impedantie geaard is. Dit heeft invloed op de coëfficiënt K2 van de IEEE 1584 berekening.
Geleiderafstand is de afstand tussen de geleiders waar de vlamboog plaatsvindt. Met behulp van de Default knop worden de typische geleiderafstanden uit Tabel 2 van de IEEE 1584 ingevuld. Het is toch aan te raden om daadwerkelijke geleiderafstanden te gebruiken. Voor variërende geleiderafstanden is het advies om zowel met minimale als maximale en gemiddelde afstand berekeningen uit te voeren. In de IEEE 1584 berekening heeft de geleiderafstand invloed op de vlamboogstroom en de vlamboogenergie. In de ISSA berekening wordt de geleiderafstand in principe niet gebruikt. De gebruiker kan wel aan de hand van deze afstand de Kp factor handmatig instellen (volgens Tabel A1.1 van de ISSA).
Persoonsafstand is de afstand tussen de vlamboogbron en het hoofd/torso van een persoon (dit is niet de afstand tot de handen van een persoon!). Typische persoonsafstanden worden automatisch ingevuld via de Default knop (Tabel 3 van de IEEE 1584). Het is toch aan te raden om daadwerkelijke persoonsafstanden te gebruiken. De persoonsafstand wordt in beide berekeningsmethoden (IEEE 1584 en ISSA) gebruikt.
Ingesloten positie geeft aan of het voor een persoon mogelijk is zich binnen 2 seconden weg te bewegen van de bron van de vlamboog. Indien de werkpositie ingesloten is, is dit niet mogelijk en de berekening gaat door totdat de kortsluiting volledig uitgeschakeld is. Anders stopt de berekening op 2 seconden (dit is het voorschrift van de IEEE 1584). Deze optie is voor zowel de IEEE 1584 als ISSA van toepassing.
‘Box test’ parameters zijn de parameters die alleen in de ISSA berekening gebruikt worden. De betekenis van de invoervelden wordt hieronder toegelicht:
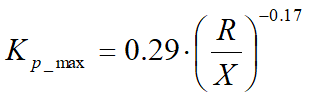
Kb is de stroomattenuatiefactor. De vlamboogstroom is gelijk aan de vermenigvuldiging van de minimale kortsluitstroom en de stroomattenuatiefactor. De typische waarde van Kb is 0,5. Kp is de coëfficiënt van het vlamboogvermogen. Het vlamboogvermogen is gelijk aan het product van het kortsluitvermogen en de Kp-factor. De waarde van Kp kan handmatig ingesteld worden (indien het vinkje max niet gecheckt is) aan de hand van Tabel A1.1 van de ISSA. Als het vinkje max gecheckt is, wordt de coëfficiënt volgens de volgende formule berekend (afhankelijk van de R/X verhouding van de kortsluiting):
![]()
Kt is de overbrengingsfactor die in de berekening van het PBM beschermingsniveau gebruikt wordt. Deze factor is afhankelijk van de volume van de installatie en varieert tussen 1,0 en 2,4. Hoe groter de volume is, hoe groter is de overbrengingsfactor. Dit betekent dat de vlamboogenergie goed verspreid wordt (wat de negatieve effecten van de vlamboog op een persoon verminderd). Bijvoorbeeld, de waarde van 2,4 wordt voor open installaties toegepast, terwijl de waarde van 1,0 typisch voor gesloten installaties is. Een grotere overbrengingsfactor resulteert dus in een hoger beschermingsniveau van de PBM-klasse.
Het is ook mogelijk om afwijkende gegevens voor in- en afgaande velden (die aan het knooppunt gekoppeld zijn) te specificeren. Deze kunnen immers afwijken van de algemene installatie, denk hierbij aan motorvelden en kabelcompartimenten. Velden kunnen gekoppeld worden zoals in Veld gegeven is.

De recente editie van de IEEE 1584 norm uit 2018 introduceert keuze tussen verschillende typen van elektrodeconfiguraties (open of gesloten, verticaal of horizontaal). Beschrijving van de typen elektrodeconfiguraties en hun foto’s zijn in de norm te vinden. Verder is het mogelijk om afmetingen voor gesloten installaties te specificeren. Typische afmetingen zijn in Tabel 8 van de norm gegeven. Het is toch aan te raden om daadwerkelijke afmetingen te gebruiken. De specifieke parameters die nodig zijn voor de IEEE 1584 en voor de ISSA berekening in Vision kunnen als volgt in een tabel worden samengevat:
Parameter |
IEEE 1584-2002 |
IEEE 1584-2018 |
ISSA |
Type installatie |
Ja |
Ja |
Nee |
Star geaard |
Ja |
Ja |
Nee |
Geleiderafstand |
Ja |
Ja |
Nee |
Persoonsafstand |
Ja |
Ja |
Ja |
Ingesloten positie |
Ja |
Ja |
Ja |
Kb |
Nee |
Nee |
Ja |
Kp |
Nee |
Nee |
Ja |
Kt |
Nee |
Nee |
Ja |
Elektrodenconfiguratie |
Nee |
Ja |
Nee |
Afmetingen |
Nee |
Ja |
Nee |